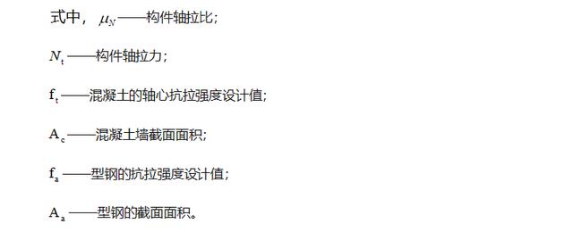
【轴拉比定义】
《超限高层建筑工程抗震设防专项审查技术要点》(建质[2015]67号)[以下简称《超限审查要点》]的第四章第十二条(四)款有要求。中震时出现小偏心受拉的混凝土构件应采用《高层混凝土结构规程》中规定的特一级构造。中震时双向水平地震下墙肢全截面由轴向力产生的平均名义拉应力超过混凝土抗拉强度标准值时宜设置型钢承担拉力,且平均名义拉应力不宜超过两倍混凝土抗拉强度标准值。轴拉比在现行规范中并没有明确规定,只是在超限审查报告中有提到构件拉应力不能超过名义拉应力的2倍。因此,我们按照规范中轴压比的规定统称为轴拉比。
【程序中的轴拉比】
程序在计算时考虑构件的轴拉比输出,用户可以在后处理->轴压比通过右侧菜单分层查看轴拉比,如下图所示。

图 1 结果查看位置
由于规范和《超限审查要点》中对轴拉比的计算公式没有明确规定,程序参考规范中轴压比的公式确定轴拉比的计算公式。

说明:《超限审查要点》中只有普通混凝土墙的轴拉比规定,因此,程序中没有输出内置和外包钢板剪力墙轴拉比和组合轴拉比。
【轴拉比——组合】
1) 当前计算模型组合后处理->轴压比基本显示内容中的轴拉比内力和组合,均采用当前计算模型的内力和组合。当前模型为小震弹性,或者,性能设计中的中震弹性或大震弹性时,轴拉比组合程序默认为基本组合。当前模型为性能设计中的中震不屈服或大震不屈服时,轴拉比组合程序默认为标准组合。
2) 控制工况组合与规范中明确规定了不同构件的轴压比计算公式不同(墙的轴压比计算要求轴力采用重力荷载代表值计算;柱的轴压比计算要求轴力采用地震组合计算),轴拉比并没有给出明确的公式计算,因此,程序在进行计算时,按照控制工况不同进行区分。

图 2 控制组合选择
在进行轴拉力计算时,采用参数定义中给出的组合。在计算时,将组合分为两种,一种组合包含地震工况,称为地震组合;不包含地震工况的组合统称为静力组合,此时,组合中会包含恒活风工况组合。同时,如果构件有轴拉力时,会在构件信息中输出最大轴拉比控制工况和组合轴力。

图 3 构件信息输出
【轴拉比——材料】
后处理->轴压比基本显示内容中的轴拉比计算材料,根据当前模型计算参数选择。当前模型为小震弹性,或者,性能设计中的中震弹性或大震弹性时,计算轴拉比时采用材料设计值ft进行计算。当前模型为性能设计中的中震不屈服或大震不屈服时,计算地震控制组合下的轴拉比时采用材料标准值ftk进行计算,非地震组合采用设计值进行计算。参数中给出了验算条件限制,用户可以手动定义超限范围。
【标准组合拉应力】
《超限审查要点》中轴拉比规定是针对中震计算,同时要求采用标准组合和标准值进行验算。一般大家只是对结构的小震进行计算分析,所以有用户提到能否直接在小震下计算后给出中震下的轴拉比验算,因此,程序专门在后处理增加了标准组合拉应力的控制。
【内力】
结构中恒载、活载以及风荷载等工况计算与结构阻尼比、地震影响系数等无关,均采用程序计算内力标准值。地震内力计算,考虑到影响结构地震工况最大的是地震影响系数最大值,程序中给出了小震影响系数最大值和中震影响系数最大值,地震工况按照二者之比线性放大,此时,未考虑中震下阻尼比变化以及连梁刚度折减等在中震下的变化。

图 4 标准组合拉应力
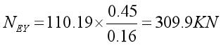
以左下角的墙为例和大家进行说明。点击构件信息进行计算结果查看。

图 5 标准组合拉应力
如图所示,构件信息中给出小震下结构计算轴力。以Y向地震作用为例进行计算。通过构件信息我们知道,在Y向地震作用下,轴力为110.19KN,构件信息中给出的数值按照我们通常力学概念,拉为正,压为负。因此,通过刚刚的描述,我们知道,在Y向地震作用下,地震轴力计算公式为:

其他地震工况以此类推,得到中震作用下内力。
【组合】
在本菜单下,无论程序采用的是小震模型,还是中大震性能设计模型,轴拉力计算组合均选用标准组合。
【轴拉比计算】
本菜单下,无论程序采用的是小震模型,还是中大震性能设计模型,轴拉比验算时采用的材料强度均采用材料标准值。为了方便校核,现在将其他工况删减,只留下恒活地震工况。以下图为例,我们进行手工校核。

图 6 标准组合轴拉比验算
通过刚刚的公式,我们对比可以知道,最大轴拉力为:

中震标准组合下的轴拉比采用材料标准值验算:

与图面输出结果一致。
【偏拉判断】
《福建省住宅工程设计若干技术规定》结构专业第二章剪力墙部分第二十三条规定:应复核高层建筑在风荷载和中震标准组合下竖向构件的受拉情况:1 风荷载和中震工况下竖向构件出现小偏心受拉时,应按抗震等级特一级构造。2 剪力墙或框架柱出现受拉,当拉应力超过ftk时,拉力应由型钢来承担……因此,在此处进行标准组合拉应力计算时,程序也判断在该墙肢在各个组合是处于轴拉状态,还是偏拉状态。程序在标准组合组合下计算拉应力,并按照验算条件中给出的限值在图面标红显示,同时,在图形中给出最大组合轴拉力。轴拉力控制组合由设置中选项查看确定。程序会标准组合下的每个组合都进行轴力和弯矩的计算,并进行大小偏拉判断,如果组合中只有大偏拉,则会输出DPL,只有小偏拉的情况则会输出XPL,当组合中大小偏拉都存在时,直接输出PL。在显示内容项中,由于构件在验算时已经进行了偏拉验算,因此,在轴压比整体输出下部显示是否偏拉。

图 7 标准组合拉应力信息展示
【组合轴拉比】
在轴压比菜单下,有两个地方有组合轴拉比,这两个地方除了组合类型、内力选取不同外,计算核心是一致的。(1) 范围选取有专家认为墙在计算时需要考虑相互影响,对T型L型截面,翼缘不大于腹板面积的一半、翼墙每侧外伸长度不大于其厚度的6倍时,也可采用各墙肢的组合轴压比。由于轴压比和轴拉比的相似性,程序将组合轴拉比也引入了展示项。用户可以通过“设置”自定义翼缘有效范围,查看静力控制组合和地震控制组合下的轴拉比。

图 8 翼缘范围考虑
(2) 内力计算用户选择了相应的翼缘范围后,轴力在计算时也考虑了翼缘的轴力进行计算,同时,在轴拉比验算时,面积也考虑了翼缘构件的面积。此时在进行组合轴力计算时,腹板和翼缘的组合是一致的,因此,可能会出现组合轴拉比和单肢墙轴拉比有差异的情况,因为,单肢墙的最大轴力组合未必是组合墙的轴力最大轴力组合。(3) 边框柱轴拉比验算时,会看到单个柱子和边框柱的轴拉比输出,在组合轴拉比中,边框柱会作为墙的翼缘,与墙体一起输出,不进行单独验算。(4) 型钢剪力墙型钢剪力墙是大家都很关心的内容,《超限要点》规定:中震时双向水平地震下墙肢全截面由轴向力产生的平均名义拉应力超过混凝土抗拉强度标准值时宜设置型钢承担拉力,且平均名义拉应力不宜超过两倍混凝土抗拉强度标准值。因此,一般大家都会增加型钢重新验算轴拉比,此时,需要勾选“组合轴拉比”进行验算,此时,不单独输出型钢轴拉比。参照《高规》11.4.14对型钢混凝土剪力墙轴压比的,程序中型钢混凝土剪力墙的轴拉比按下式计算:


说明:程序在进行型钢剪力墙判断时,只有墙两端节点都配置型钢,程序才会判断为型钢剪力墙(如图6所示),在构件信息中用户可以看到构件设计属性为型钢混凝土墙,程序在进行验算时正截面会考虑型钢影响,同时会按照型钢剪力墙进行斜截面验算。
图 9 程序型钢剪力墙判断

小结:1. 单构件在验算时已经输出了最大轴拉比,同时,在后处理->轴压比菜单中可以按照控制工况输出不同工况下轴拉比;2. 后处理->轴压比中可以定义剪力墙翼缘范围,输出组合轴拉比;3. 对于中震下的标准组合下的轴拉比,有两种计算方式:1)通过性能设计进行计算,在参数定义中定义中震不屈服计算包络,后续在后处理->轴压比中直接查看轴拉比,此时,用户可以定义结构在中震下的阻尼比和连梁刚度折减等参数。

2)仅对模型进行小震计算,程序自动按照中震与小震地震影响系数进行放大,并采用标准组合计算构件内力,采用材料标准值进行地震组合下的轴拉比验算。
本文来源于PKPM构力科技,仅作分享学习交流,如有侵权,请联系小编删除!
版权声明
本文仅代表作者观点,不代表本站立场。
本文系作者授权发表,未经许可,不得转载。